源頭廠家 · 高效阻垢 · 綠色環保 · 品質保障
寧經理:18853131830,15553139909
李經理:18615581723
銷售一部:0531-88760590
銷售二部:0531-88786527
工廠地址: 濟南高新區孫村鎮大正路與世紀大道交叉口東50米
銷售地址:山東省濟南市高新區聯合財富廣場1號樓907
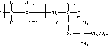
Copolymer of Maleic and Acylic Acid (MA/AA)
CAS No. 26677-99-6
結構式 

MA/AA是一種低分子量的聚電解質,由馬來酸與丙烯酸按一定比例共聚制得,MA/AA對碳酸鹽等具有很強的分散作用,熱穩定性高,可在300℃高溫等惡劣條件下使用,與其它水處理藥劑具有良好的相容性和協同增效作用。對包括磷酸鹽在內的水垢的生成具有良好的抑制作用。由于MA/AA阻垢性能和耐高溫性能較好,因此廣泛用于低壓鍋爐、集中采暖、中央空調及各類循環冷卻水系統中。MA/AA也可用于紡織印染行業作螯合分散劑使用。
項 目 | 指 標 | |
HG/T 2229-2009 | -- | |
外 觀 | 棕紅色透明液體 | 無色至黃色透明液體 |
固體含量/% | ≥48.0 | ≥50.0 |
pH值(1%水溶液) | 2.0~3.0 | 2.0~3.0 |
密度(20℃)/g·cm-3 | ≥1.20 | ≥1.18 |
游離單體(以MA計)/% | ≤5.0 | ≤5.0 |
與其他有機膦酸鹽復配使用,用量一般在2~10mg/L。
MA/AA作紡織印染助劑及助洗劑的用量由試驗確定。
MA/AA為酸性,操作時注意勞動保護,應避免與皮膚、眼睛等接觸,接觸后用大量清水沖洗。
MA/AA為塑料桶包裝,每桶25kg或200kg。貯存期十二個月。
致力于優化每個水處理項目,打造中國環保行業品牌企業
保護環境是我們每個人的責任和義務